Maharashtra Board Textbook Solutions for Standard Eight

Miscellaneous Exercise 2

1. Questions and their alternative answers are given. Choose the correct alternative answer.

(1) Find the circumference of a circle whose area is 1386 cm².

(A) 132 cm²

(B) 132 cm 

(C) 42 cm 

(D) 21 cm²

Ans: Option (B) – 132 cm

 

Solution:

Area of the circle = πr²

1386 = \(\large \frac {22}{7}\) × r²

r² = 1386 × \(\large \frac {7}{22}\)

∴ r² = 63 × 7

∴ r² = 441

∴ r = \(\sqrt{441}\) …[Taking square root of both sides]

∴ r = 21 cm

 

Circumference of the circle 

= 2πr

= 2 × \(\large \frac {22}{7}\) × 21

= 132 cm

 

(2) The side of a cube is 4 m. If it is doubled, how many times will be the volume of the new cube, as compared with the original cube?

(A) Two times 

(B) Three times 

(C) Four times 

(D) Eight times 

 

Ans: Option (D) – Eight times 

 

Solution:

Original volume = (4)³ = 64 cu.m.

New side = 8 m

∴ New volume = (8)³ = 512 cu.m.

 

Now,  

\(\large \frac {New\, Volume}{Original \,Volume}\) 

= \(\large \frac {512}{64}\) 

= 8

 

∴ Volume of new cube will increase 8 times as compared to the volume of original cube.

2. Pranalee was practising for a 100 m running race. She ran 100 m distance 20 times. The time required, in seconds, for each attempt was as follows. 

18 , 17 , 17 , 16 , 15 , 16 , 15 , 14 , 16 , 15 , 15 , 17 , 15 , 16 , 15 , 17 , 16 , 15 , 14 , 15. Find the mean of the times taken for running.

Solution:

Time in seconds
xi
Frequency
fi
fi × xi
14
2
28
15
8
120
16
5
180
17
4
68
18
1
18
N = 20
Σfi × xi = 314

Mean (x̄) = \(\large \frac {Σfi × xi }{N}\)

                = \(\large \frac {314}{20}\)

                = 15.7 seconds

 

Ans: The mean of the time taken for running 100 m race is 15.7 seconds.

3. ∆ DEF and ∆ LMN are congruent in the correspondence EDF ⟷ LMN. Write the pairs of congruent sides and congruent angles in the correspondence.

Solution:

∆EDF ≅ ∆LMN

 

Therefore,

side ED ≅ side LM

side DF ≅ side MN

side EF ≅ side LN

∠E ≅∠L

∠D ≅∠M

∠F ≅∠N

4. The cost of a machine is ₹ 2,50,000. It depreciates at the rate of 4% per annum. Find the cost of the machine after three years. 

Solution:

P = Cost of the machine = Rs 2,50,000

R = Rate of depreciation = 4%

N = 3 Years

A = Depreciated price of the machine

 

Amount = P \(\large[\)1 + \(\large \frac {R}{100}]^{N}\)

∴ Amount = 250000 \(\large[\)1 + \(\large \frac {(–\,4)}{100}]^{3}\)

∴ Amount = 250000 \(\large [\frac {100\,–\,4}{100}]^{3}\)

∴ Amount = 250000 \(\large [\frac {96}{100}]^{3}\)

∴ Amount = 250000 \(\large [\frac {24}{25}]^{3}\)

∴ Amount = 250000 × \(\large \frac {24}{25}\) × \(\large \frac {24}{25}\) × \(\large \frac {24}{25}\)

∴ Amount = 250000 × \(\large \frac {24}{25}\) × \(\large \frac {24}{25}\) × \(\large \frac {24}{25}\)

∴ Amount = 16 × 24 × 24 × 24

∴ Amount = 2,21,184

 

Ans: The cost of the machine after three years will be ₹ 2,21,184.

5. In □ ABCD, side AB || side DC, seg AE ⊥ seg DC. If l (AB) = 9 cm, l (AE) = 10 cm, A(□ ABCD) = 115 cm², find l (DC).

Given:

l(AB) = 9 cm

l(AE) = 10 cm

A(☐ABCD) = 115 cm²

 

To find:

l(DC).

 

Solution:

We know that,

Area of a trapezium

= \(\large \frac {1}{2}\) × sum of lengths of parallel sides × height

 

∴ A(☐ABCD) = 12 × [l(AB) + l(DC) x l(AE)]

∴ 115 = 12 × [9 + l(DC)] × 10

∴ 115 × 210 = 9 + l(DC)

∴ 23 = 9 + l(DC)

∴ l(DC) = 23 – 9

∴ l(DC) = 14 cm

 

Ans: l(DC) = 14 cm

6. The diameter and height of a cylindrical tank is 1.75 m and 3.2 m respectively. How much is the capacity of tank in litre ? (p = \(\large \frac {22}{7}\))

Given: 

For cylindrical tank:

diameter (d) = 1.75 m

height (h) = 3.2 m

 

To find: 

Capacity of tank in litre

 

Solution:

Diameter (d) = 1.75 m

= 1.75 × 100 cm

= 175 cm

 

Radius (r) 

= \(\large \frac {diameter}{2}\)

= \(\large \frac {175}{2}\ cm

 

Height (h) 

= 3.2 m

= 3.2 × 100

= 320 cm

 

Capacity of tank 

= Volume of the cylindrical tank

= πr²h

= \(\large \frac {22}{7}\) × \(\large (\frac {22}{7})^{2}\) × 320

= \(\large \frac {22}{7}\) × \(\large (\frac {22}{7})^{2}\) × 320

= \(\large \frac {22}{7}\) × \(\large \frac {22}{7}\) × \(\large \frac {22}{7}\) × 320

= 11 × 25 × 175 × 160

= 77,00,000 cc

= \(\large \frac {77,00,000}{1000}\) litre …[1 litre = 1000 cc]

= 7700 litres

 

Ans: The capacity of the tank is 7700 litre.

7. The length of a chord of a circle of 16.8 cm, radius is 9.1 cm. Find its distance from the centre.

IMG 20231019 201612 Miscellaneous Exercise 2

Given:

Length of chord = l(CD) = 16.8 cm

Radius = l(OD) = 9.1 cm

 

To find:

PM

 

Solution:

Draw seg OP ⊥ chord CD

∴ l(PD) = \(\large \frac {1}{2}\) × l(CD) …[Perpendicular drawn from the centre of a circle to its chord bisects the chord]

∴ l(PD) = \(\large \frac {1}{2}\) × 16.8 

∴ l(PD) = 8.4 cm

 

In ∆OPD, 

m∠OPD = 90°

∴ [l(OD)]² = [l(OP)]² + [l(PD)]² …[Pythagoras theorem]

∴ (9.1)² = [l(OP)]² + (8.4)² 

∴ (9.1)² – (8.4)² = [l(OP)]²

∴ 82.81 – 70.56 = [l(OP)]²

∴ [l(OP)]² = 12.25

∴ l(OP) = \(\sqrt{12.25}\) …[Taking square root of both sides]

∴ l(OP) = 3.5 cm

 

Ans: The distance of the chord from the centre is 3.5 cm.

8. The following table shows the number of male and female workers, under employment guarantee scheme, in villages A, B, C and D.

IMG 20231019 201149 Miscellaneous Exercise 2

(1) Show the information by a sub-divided bar-diagram.
Solution:

Villages A B C D
No of females
150
240
90
140
No of males
225
160
210
110
Total
375
400
300
250
sum no 1 1 jpg Miscellaneous Exercise 2

(2) Show the information by a percentage bar diagram.

Solution:

Villages A B C S
No of females
150
240
90
140
No of males
225
160
210
110
Total
375
400
300
250
Percentage of females
40%
60%
30%
56%
Percentage of males
60%
40%
70%
44%
s 2 jpg Miscellaneous Exercise 2

9. Solve the following equations. 

(1) 17 (x + 4) + 8 (x + 6) = 11(x + 5) + 15 (x + 3)

Solution:

17 (x + 4) + 8 (x + 6) = 11 (x + 5) + 15 (x + 3)

∴ 17x + 68 + 8x + 48 = 11x + 55 + 15x + 45

∴ 17x + 8x + 68 + 48 = 11x + 15x + 55 + 45

∴ 25x + 116 = 26x + 100

∴ 25x = 26x + 100 – 116

∴ 25x = 26x – 16

∴ 25x – 26x = – 16

∴ – x = – 16

∴ x = 16

(2) \(\large \frac {3y}{2}\) + \(\large \frac {y\,+\,4}{4}\) = 5 – \(\large \frac {y\,–\,2}{4}\)

Solution:

\(\large \frac {3y}{2}\) + \(\large \frac {y\,+\,4}{4}\) = 5 – \(\large \frac {y\,–\,2}{4}\)

∴ \(\large \frac {3y\,×\,2}{2\,×\,2}\) + \(\large \frac {y\,+\,4}{4}\) = 5 – \(\large \frac {y\,–\,2}{4}\)

∴ \(\large \frac {6y}{4}\) + \(\large \frac {y\,+\,4}{4}\) = 5 – \(\large \frac {y\,–\,2}{4}\)

∴ \(\large \frac {6y\,+\,y\,+\,4}{4}\) = 5 – \(\large \frac {y\,–\,2}{4}\)

∴ \(\large \frac {7y\,+\,4}{4}\) + \(\large \frac {y\,–\,2}{4}\) = 5 

∴ \(\large \frac {7y\,+\,4\,+\,y\,–\,2}{4}\) = 5 

∴ \(\large \frac {7y\,+\,y\,+\,4\,–\,2}{4}\) = 5 

∴ \(\large \frac {8y\,–\,2}{4}\) = 5 

∴ 8y – 2 = 5 × 4

∴ 8y – 2 = 20

∴ 8y = 20 – 2

∴ 8y = 18

∴ y = \(\large \frac {18}{8}\) 

∴ y = \(\large \frac {9}{4}\)

(3) 5 (1 – 2 x) = 9 (1 – x)

Solution:

5(1 – 2x) = 9(1 – x)

∴ 5 – 10x = 9 – 9x

∴ – 10x = 9 – 9x – 5

∴ – 10x = 4 – 9x

∴ – 10x + 9x = 4

∴ – x = 4

∴ x = – 4

10. Complete the activity according to the given steps. 

(1) Draw rhombus ABCD. Draw diagonal AC. 

(2) Show the congruent parts in the figure by identical marks. 

Solution to the above questions:

IMG 20231019 200017 Miscellaneous Exercise 2

(3) State by which test and in which correspondence ∆ADC and ∆ABC are congruent. 

Solution:

In ∆ADC and ∆ABC,

side AD ≅ side AB …[Sides of a rhombus]

side DC ≅ side BC …[Sides of a rhombus]

side AC ≅ side AC …[Common side]

∆ADC ≅ ∆ABC …[By SSS test]

 

(4) Give reason to show ∠DCA ≅ ∠BCA, and ∠DAC ≅ ∠BAC

Solution:

∠DCA ≅ ∠BCA …[Corresponding angles of congruent triangles]

∠DAC ≅ ∠BAC …[Corresponding angles of congruent triangles]

 

(5) State which property of a rhombus is revealed from the above steps.

Ans: The diagonals of a rhombus bisect the opposite angles

11. The shape of a farm is a quadrilateral. Measurements taken of the farm, by naming its corners as P, Q, R, S in order are as follows. l(PQ) = 170 m, l(QR) = 250m, l(RS) = 100 m, l(PS) = 240 m, l(PR) = 260 m. Find the area of the field in hectare (1 hectare = 10,000 sq.m)

Given:

In ∆PQR, 

a = 170 m, 

b = 250 m, 

c = 260 m

 

In ∆PSR,

a = 240 m

b = 100 m

c = 260 m

 

To find:

Area of the field

 

Solution:

For ∆PQR,

Semiperimeter of ∆PQR (s)

= \(\large \frac {a\, +\, b\, +\, c}{2}\)

= \(\large \frac {170\, +\, 250\, +\, 260}{2}\)

= \(\large \frac {680}{2}\)

= 340

 

Area of ∆PQR

= \( \sqrt {s\, (s\, –\, a)(s\, –\, b)(s\, –\, c) }\)

= \( \sqrt {340\, (340\, –\, 170)(340\, –\, 250)(340\, –\, 260) }\)

= \( \sqrt {340\, ×\, 170\, ×\, 90\, ×\, 80 }\)

= \( \sqrt {2\, ×\, 170\, ×\, 170\, ×\, 3\, ×\, 3\, ×\, 10\, ×\, 2\, ×\, 2\,×\, 10 }\)

= \( \sqrt {2²\, ×\, 2²\, ×\, 3²\, ×\, 10²\, ×\, 170² }\)

= 2 × 2 × 3 × 10 × 170

= 20400 sq.m

 

For ∆PSR,

Semiperimeter of ∆PQR (s)

= \(\large \frac {a\, +\, b\, +\, c}{2}\)

= \(\large \frac {240\, +\, 100\, +\, 260}{2}\)

= \(\large \frac {600}{2}\)

= 300

 

Area of ∆PSR

= \( \sqrt {s\, (s\, –\, a)(s\, –\, b)(s\, –\, c) }\)

= \(\sqrt {300\, (300\, –\, 240)(300\, –\, 100)(300\, –\, 260) }\)

= \(\sqrt {300\, ×\, 60\, ×\, 200\, ×\, 40 }\)

= \( \sqrt {5\, ×\, 60\, ×\, 60\, ×\, 5\, ×\, 40\, ×\, 40 }\)

= \( \sqrt {5²\, ×\, 60²\, ×\, 40² }\)

= 5 × 60 × 40

= 12000 sq.m 

 

Area of the field 

= A(∆PQR) + A(∆PSR)

= 20400 + 12000

= 32400

= \(\large \frac {32400}{10000}\) …[1 hectare = 10,000 sq.m]

= 3.24 hectare 

 

Ans: The area of the field is 3.24 hectares.

12. In a library, 50% of total number of books is of Marathi. The books of English are \(\large \frac {1}{3}\) rd of Marathi books. The books on mathematics are 25% of the English books. The remaining 560 books are of other subjects. What is the total number of books in the library?

Solution:

Let the total number of books in the library be x

50% of total number of books is of Marathi.

Number of Marathi books 

= 50% of x

= \(\large \frac {50}{100}\) × x

= \(\large \frac {x}{2}\)

 

Number books of English are \(\large \frac {1}{3}\) of Marathi books.

= \(\large \frac {1}{3}\) × \(\large \frac {x}{2}\)

= \(\large \frac {x}{6}\)

 

Number of Mathematics bookz are 25% of the English books.

= 25% of \(\large \frac {x}{6}\)

= \(\large \frac {25}{100}\) × \(\large \frac {x}{6}\)

= \(\large \frac {x}{24}\)

 

Since, there are 560 books of other subjects, the total number of books in the library are,

 

x = \(\large \frac {x}{2}\) + \(\large \frac {x}{6}\) + \(\large \frac {x}{24}\) + 560

∴ x = \(\large \frac {x\,×\,12}{2\,×\,12}\) + \(\large \frac {x\,×\,4}{6\,×\,4}\) + \(\large \frac {x}{24}\) + 560

∴ x = \(\large \frac {12x}{24}\) + \(\large \frac {4x}{24}\) + \(\large \frac {x}{24}\) + 560

∴ x = \(\large \frac {12x\,+\,4x\,+\,x}{24}\) + 560

∴ x = \(\large \frac {17x}{24}\) + 560

∴ x – \(\large \frac {17x}{24}\) = 560

∴ \(\large \frac {24x}{24}\) – \(\large \frac {17x}{24}\) =  560

∴ \(\large \frac {24x\,–\,17x}{24}\) = 560

∴ \(\large \frac {7x}{24}\) = 560

∴ 7x = 560 × 24

∴ 7x = 13440

∴ x = \(\large \frac {13440}{7}\)

∴ x = 1920

 

Ans: The total number of books in the library are 1920.

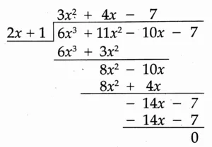
13. Divide the polynomial (6x³ + 11x² – 10x – 7) by the binomial (2x + 1). Write the quotient and the remainder.

Solution:

IMG 20231019 195815 Miscellaneous Exercise 2

Quotient: 3x² + 4x – 7

Remainder: 0